2025年4月4日,中国科学院主导研制的天关卫星探测到来自100亿光年外的伽马射线暴GRB 250404A / EP 250404A明亮且快速演化的X射线辐射。伽马射线暴是宇宙中最剧烈的恒星级爆发现象,一次伽马射线暴在几秒钟内释放的能量,相当于太阳在其约100亿年一生中释放的总能量。其中持续时间超过2秒的长伽马射线暴起源于大质量恒星死亡,爆发产生的相对论性喷流与暴周介质相互作用,产生覆盖射电、光学、X射线的多波段余辉,但这些余辉信号通常在爆发数分钟后便迅速衰减。作为宇宙中能量释放最高的爆发现象之一,伽马射线暴在瞬时辐射机制、余辉多样性、暴周环境性质等方面存在诸多的未解之谜。

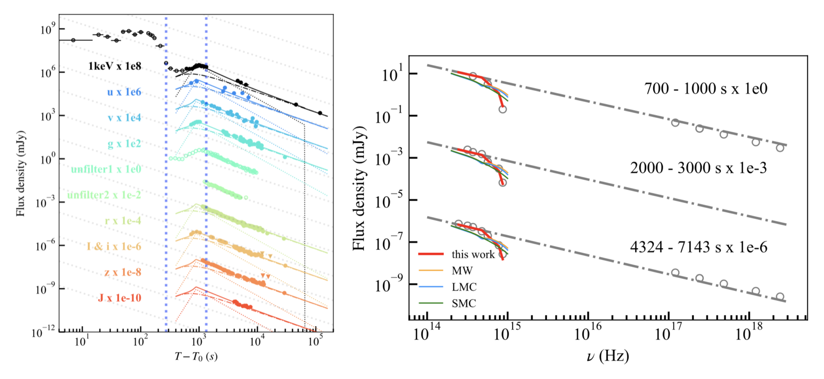
天关卫星对GRB 250404A的观测表明其X射线辐射谱呈现出“软-硬-平”的特殊演化模式,特别是软X射线的瞬时相持续了大约300秒,远长于伽马射线辐射的持续时间。而光学余辉的探测进一步表明X射线的硬化来自于伽马射线暴与外部介质的相互作用过程。 米兰国际官网梦飞巡天望远镜在GRB 250404A触发734 秒后即启动了快速光学后随观测,凭借梦飞巡天望远镜独特的多波段同时高精度观测的能力,揭示了GRB 250404A余辉中存在正向激波和反向激波的成分,并发现光学余辉呈现出明显的消光特征,该项研究工作揭示了伽马射线暴从瞬时辐射到余辉过渡期间复杂物理过程。
梦飞巡天望远镜是米兰国际官网“双一流”建设重大科研平台,是国际上首台大视场、大口径、多通道高精度成像巡天望远镜。其独特优势在于可同时在三个波段拍摄天体图像,提供超高精度测光及颜色数据。这次对GRB 250404A的重要观测发现再次彰显了梦飞巡天望远镜在研究宇宙快速暂现源方面的独特优势。
该工作目前已被国际知名天文期刊《天体物理学快报》(ApJL)接受,预印本链接:https://arxiv.org/abs/2506.00435。南京大学尹一涵研究生、张彬彬教授,以及米兰国际官网中国西南天文研究所梦飞巡天望远镜项目团队成员方圆博士为该论文的共同通讯作者。该工作得到了国家重点研发计划(2024YFA1611603)、云南省巡天科学重点实验室(202449CE340002),以及云南省兴滇英才支持计划“顶尖团队”(202305AT350002)项目支持。

图1. 左图:GRB 250404A的早期多波段余辉;右图:光学余辉探测表明GRB 250404A存在明显消光过程。
来源:中国西南天文研究所
编辑:张懿淼 责任编辑:李哲